背景及概述[1]
间羟基可用作医药合成中间体。间羟基可通过芳基卤代物的水解制备,不使用相转移催化剂的铜催化的芳基卤代物的水解反应具有非常重要的应用前景,合适的配体是该类反应能够发生的关键。过渡金属催化的芳基卤代物的水解反应是制备酚的有效方法。金属钯在催化卤代芳烃的水解反应中有着很高的效率,但钯催化剂的价格昂贵,且通常反应体系中需要加入大位阻、结构较复杂的膦配体或氮杂卡宾配体来促进反应,这在一定程度上限制了其应用。本领域仍然缺乏一种绿色且适合工业化应用,铜催化的能够使芳基卤代物水解反应高效进行的催化体系。
制备[2]
间羟基的制备:在l00ml水热合成反应釜中,加入氢氧化钠(3mmol),水(5ml),搅拌溶解后,加入间碘(0.5mmol),氧化亚铜(0.05mmol),白坚木皮醇(0.05mmol),反应在100℃下均匀搅拌6小时,冷却后用稀盐酸调ph到2,再用萃取,萃取液浓缩后柱层析,得间羟基,54.0mg,收率71%。m/z:153.1[m+h]+,150.9[m-h]-,m.p.129-131℃。
应用[1]
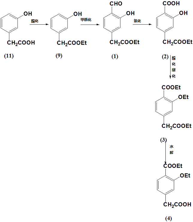
间羟基可用于制备3-乙氧基-4-乙氧羰基:

以化合物11间羟基为原料,首先经过酯化反应合成间羟基即化合物9,后经过甲酰化反应合成4-甲酰基-3-羟基即化合物1,后经过氧化反应合成4-乙酰乙酯基-2-羟基甲酸即化合物2,再经过酯化醚化反应合成3-乙氧基-4-乙氧羰基即化合物3,后经过水解反应制得化合物4。
主要参考资料
[1] cn201910303215.3白坚木皮醇在铜催化芳基卤代物水解反应中的应用
[2] cn201410091929.x3-乙氧基-4-乙氧羰基的合成方法



