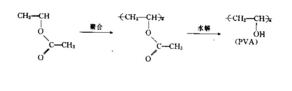
(1)配位原子为氧的高分子螯合剂
这类螯合剂很多,简单易得的是聚乙烯醇(pva)。 它是由聚醋酸乙號水解而得到的,是一种具有羟基配位基团的高分子螯合剂。其化学反应式 如下:

生成的pva可以与多种金属离子螯合,如cu2、ni2+、co2、fe2+、mn2-、ti3+、 zn2+等,形成高分子配合物,其中与桐、铁、钛的螯合物特别稳定。pva与二价过渡金属离子配合物的稳定性按co2+<ni2+<zn2+<cu2+顺序递増。
pva虽与cu2+螯合得很牢,但它与cu+并不螯合。将挂有重物的水不溶性pva薄膜放入cu3(po4)2,的水溶液中,由于cu2+与薄膜上的一oh螯合,使高分子发生收缩而将下垂的重物提起。当把cu2+还原成一价cu+时、因pva不能与cu+配合,则从配合物中释放出铜离子。而使pva薄膜伸长。这一现象为化学能转变为机械能提供了一个有益的启示。
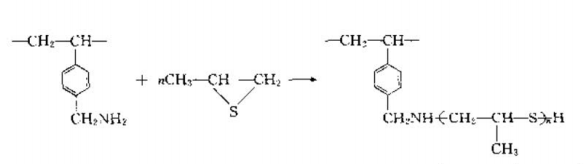
(2)配位原子为氮、硫、磷等的高分子螯合剂
这类高分子螯合剂的种类也很多,如含有硫脲、亚酯、磷酸、胂酸等配位基团的螯合剂,它们对不同金属有不同的螯合能力,如下反应:

该产物是含硫醚结构的新型功能性树脂,它能在0.1~2mol/i,盐酸浓度范围内选择性地吸附金,对金的吸附容量为239. 5mgau ( i )/g.
除上述高分子螯合剂外,还有具有冠醚结构的大分子配位树脂,以及品种不少的天然高分子螯合剂,在此不作介绍。总之,高分子螯合剂的品种是多种多样的,性能各异。功能基的种类、 搭配、结构等因素都影响树脂的性能。另一方面,所生成的有金属离子的螯合物往往具有许多特性,如催化、光敏、导电、脱氧、吸氧、磁性、能量转化等,正被广泛的研究和应用。



