背景及概述[1]
n1,n1,n4,n4-四(吡啶-4-基)-1,4-二胺是一种有机中间体,可由4,4'-联吡啶胺和1,4-二溴一步制备得到。属于吡啶基配体,吡啶配体及其衍生物具有σ给电子能力及π受电子能力,能够与多种金属形成稳定的配合物,是现在配位化学中应用为广泛的螯合配体。这些配体及配合物已广泛的用于分子催化,太阳能转换,比色分析,除草剂,分子识别,自组装,抗肿瘤药物及核酸探针等领域。
制备[1]

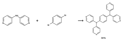
将4,4'-联吡啶胺(4.28 g,25 mmol),1,4-二溴(2.36 g,10 mmol),无水碳酸钾(4.8 g,34.4 mmol),铜(994 mg,6.2 mmol),18-冠-6(220 mg,0.83 mmol)和二醚(35 ml)加入三口烧瓶中,在氮气下于200°c加热3天,然后再加入1,4-二溴(7 g,29.7 mmol)。将反应混合物在200℃下搅拌另一天。将反应冷却后,加入二氯甲烷和水以溶解固体,将有机相用蒸馏水洗涤至中性ph,然后用钠干燥。除去溶剂后,将残余物通过硅胶色谱纯化,得到以下两种化合物的无色固体:(4-溴基)-二(4-吡啶基)胺(2.92 g)和 n1,n1,n4,n4-四(吡啶-4-基)-1,4-二胺(2.1g,基于4,40-二吡啶基胺的40.8%)。 1hnmr(cdcl3,500mhz):δ= 8.49(d,j = 6.0hz,8h,吡啶基-h), 7.23(s,4h,亚基-h),7.01(d,j = 6.0hz,8h,吡啶基-h)。anal. calcd (%) for c26h20n6: c, 74.98; h, 4.84; n, 20.18. found: c, 74.57; h, 4.71; n, 20.06. ir (kbr pellet, cm-1): 1592(s), 1577 (vs), 1498(s), 1488(s), 130(m), 1304(s), 1277(vs), 1217(m), 993(m), 813(m), 740(w), 624(m), 542(m).
主要参考资料
[1] from u.s. pat. appl. publ., 20120214962, 23 aug 2012



