背景及概述[1]
2-氰基-4-硝基-6-溴胺是一种很重要的分散染料中间体,是合成分散蓝183等分散染料的一种重要原料。
制备[1]
(1)2-氰基-4-硝基胺的合成:
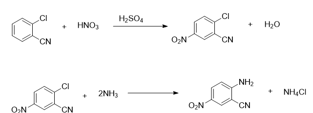
a1、将100g邻氯腈放入333g介质中,然后滴加混酸,在5-10℃进行硝化,得到硝化物;混酸为hno3和h2so4以0.5:1的质量百分比混合而成;
a2、将步骤a1中的硝化物经过加水水析,水析后进行过滤得到硝化料;
a3、将步骤a2中的硝化料在400g氯中溶解,得到硝氯混液;
a4、将步骤a3中的硝氯混液与液氨进行氨解反应,反应到终点后在80℃下蒸馏回收溶剂;氨解反应温度为110℃,氨解反应压力为2.6mpa;反应的终点在液相色谱仪中测定;
a5、将步骤a4中的溶剂进行抽滤并水洗至中性,得到湿品产品,即2-氰基-4-硝基胺湿品;
该步骤(1)中的反应方程式为:

由此可知,介质的实质上起到溶剂的作用,为反应的进行提供了酸性条件,不参与反应。
(2)2-氰基-4-硝基-6-溴胺的合成:
b1、称取步骤a5中制得的2-氰基-4-硝基胺100g放入20g介质中,然后滴加溴化氢和50g双氧水进行反应;
b2、步骤b1中的反应经终点控制到达终点后,进行过滤得到2-氰基-4-硝基-6-溴胺的湿品料。
该步骤(2)中的反应方程式为:

同理,介质的实质上起到溶剂的作用,为反应的进行提供了酸性条件,不参与反应。
参考文献
[1] [中国发明,中国发明授权] cn201410524535.9 一种2-氰基-4-硝基-6-溴胺的合成工艺



