背景及概述[1]
(4-氯基)乙醛酸是一种医药中间体,可由氯和2-氯-2-氧代通过两步制备得到,可用于制备一种可用于治疗与kit和pdgfr相关的病症的化合物
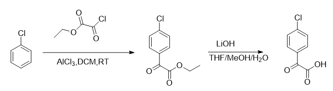
制备[1]
步骤1:合成2-(4-氯基)-2-氧代
向氯(10ml,100.0mmol)和2-氯-2-氧代(17ml,146.0mmol)于dcm (250ml)中的经搅拌溶液在0℃下缓慢添加三氯化铝(25.5g,192.0mmol)。添加完成后,使反 应物升温至室温并再搅拌12小时。将反应物用etoac(500ml)稀释并用水(300ml)和盐水 (300ml)洗涤。分离出有机层,经na2so4干燥,过滤并浓缩。通过硅胶柱色谱(pe:etoac=10:1 至5:1)纯化残余物,得到呈轻油状物的标题化合物(14g,67%)。ms(es+)c10h9clo3要求值: 212,214,实测值:213,215[m+h]+。
步骤2:合成(4-氯基)乙醛酸
将2-(4-氯基)-2-氧代(4.0g,18.9mmol)和氢氧化锂(1.98g, 47.1mmol)于thf:meoh:h2o(76ml,v/v/v=10:6:3)中的混合物在25℃下搅拌3小时。将混合 物用浓hcl中和至ph=2-3。将形成的白色沉淀经由过滤收集,用水洗涤三次并真空干燥以得到呈白色固体的(4-氯基)乙醛酸(3.0g,86%)。ms(es+)c8h5clo3要求值:184,186,实测值: 185,187[m+h]+。
应用[1]

cn201680052913.5 报道了(4-氯基)乙醛酸用于合成上述化合物2-(4-氯基)-2-羟基-n-(4-(6-(1-甲基-1h-吡唑-4-基)吡咯并 [1,2-f][1,2,4]三嗪-4-基)基)乙酰胺,可用于治疗诸如肥大细胞增多症、gist和aml的疾患的化合物。该类化合物可用于治疗人或非人的与异常kit活性有关的疾患。kit中的激活突变可见于多种适应症,包括系统性肥大细胞增多症、gist(胃肠道间质瘤)、aml(急性髓 性白血病)、黑色素瘤、精原细胞瘤、颅内生殖细胞肿瘤和纵隔b细胞淋巴瘤。
参考文献
[1] [中国发明] cn201680052913.5 可用于治疗与kit和pdgfr相关的病症的化合物




