背景及概述[1]
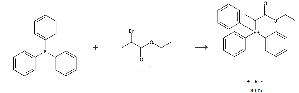
乙氧甲酰基乙基三基溴化膦是一种有机中间体,可由三基膦和2-溴丙酸乙酯一步制备得到。乙氧甲酰基乙基三基溴化膦可用于制备2-c-甲基-4,5-o-(1-甲基乙烯基)-d-阿拉伯糖酸乙酯,2-c-甲基-4,5-o-(1-甲基乙烯基)-d-阿拉伯糖酸乙酯是合成sofosbuvir的关键中间体。
制备[1]

将28.8g(0.11mol)的三基膦和18.1g(0.1mol)的2-溴丙酸乙酯加入157ml水中,升温至70~80℃,并于该温度条件下继续保温反应15~18小时,得到乙氧甲酰基乙基三基溴化膦溶液。
应用[1]

乙氧甲酰基乙基三基溴化膦制备2-c-甲基-4,5-o-(1-甲基乙烯基)-d-阿拉伯糖酸乙酯的方法如下:将34.0g(0.13mol)的三基膦和23.5g(0.13mol)的2-溴丙酸乙酯加入157ml水中,升温至70~80℃,并于该温度条件下继续保温反应15~18小时,降低反应体系温度至0~5℃,加入200ml乙腈,并滴加含13.0g(0.1mol)r-甘油醛缩丙酮的乙腈溶液26g,约0.5小时滴加完毕,继续滴加30%的氢氧化钾溶液20.5g(0.11mol),控制内温不超过10℃,滴加完毕,升温至20~25℃保温搅拌1~3小时至r-甘油醛缩丙酮反应完毕。向体系中加入锇酸钾7.5mg(2.0×10mol),室温搅拌,分批加入15%的铁氰化钾水溶液74g,室温搅拌24小时,反应完全后,用饱和亚钠水溶液淬灭反应,分液,水相用二氯甲烷溶液萃取,合并有机相,浓缩,然后向浓缩后的体系中加入40ml和正庚烷100ml的混合溶剂,加热回流至完全溶清,降温至0-5℃条件下搅拌1小时,抽滤,得2-c-甲基-4,5-o-(1-甲基乙烯基)-d-阿拉伯糖酸乙酯14.7g(纯度96.9%,收率64.1%)。
参考文献
[1] [中国发明] cn201710542417.4 2-c-甲基-4,5-o-(1-甲基乙烯基)-d-阿拉伯糖酸乙酯的制备方法



