背景及概述[1]
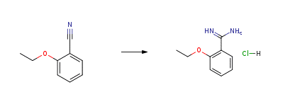
2-乙氧基甲脒盐酸盐是一种医药中间体,可由2-乙氧基苄腈一步制备得到。有文献报道2-乙氧基甲脒盐酸盐可用于制备磷酸二酯酶抑制剂。
制备[1]

将21.4 g(400 mmol)氯化铵悬浮在375 ml中,并将悬浮液冷却至0°c。滴加200 ml 2m三甲基铝的己烷溶液,并将混合物在室温下搅拌至气体的逸出已停止。添加29.44g(200mmol)的2-乙氧基苄腈,然后将反应混合物在80℃(浴)下搅拌过夜。将冷却的反应混合物在冰冷却下加入到100g硅胶和950ml氯仿的悬浮液中,并将混合物在室温搅拌30分钟。抽滤混合物,并用相同量的甲醇洗涤滤渣。蒸发母液,将所得残余物与二氯甲烷和甲醇(9∶1)的混合物一起搅拌,将固体抽滤,并将母液蒸发。得到30.4g(76%)无色固体。 200 mhz 1h-nmr (dmso-d6): 1.36 (t, 3h); 4.12 (quart., 2h); 7.10 (t, 1h); 7.21 (d, 1h); 7.52 (m, 2h); 9.30 (s, broad, 4h).
应用[1]

us6476029报道了2-乙氧基甲脒盐酸盐可用于制备上述化合物及其衍生物。上述化合物是一种或多种磷酸二酯酶的有效抑制剂(cgmp-pdes)。cgmp浓度的增加可导致有益的抗凝集,抗血栓形成,抗血管痉挛,血管舒张和利尿作用。它可以影响肌肉和心脏的肌力,脉冲和心脏传导的短期或长期调节。
参考文献
[1] us6476029



