背景及概述[1]
间二甲酸二甲酯是白色针状结晶,溶于甲醇、乙醇,不溶于水,用于有机合成,作气相色谱固定板。间二甲酸二甲酯由间二甲酸与甲醇酯化而得。
制备[2-3]
报道一、
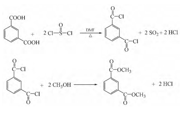
将70kg间二甲酸、0.6kgn,n‑二甲基甲酰胺加入到合成釡中,再向其中加入105kg氯化亚砜,开始缓慢升温,控制反应温度在50‑80℃保持回流状态,同时,控制真空为90‑97mpa,尾气先经过水吸收系统,将其中氯化氢吸收为30%以上的盐酸,再经过碱液吸收系统,将其中二氧化硫转化为副产品亚钠。合成反应进行5‑7小时后,回收过量未反应的氯化亚砜。控制流速为7‑10kg/h,将此粗合成液缓慢加入到盛有40kg甲醇的反应釜中,保持反应温度为60‑90℃,同时,控制真空为90‑95mpa。尾气经过水吸收系统,将氯化氢吸收为30%以上的盐酸。滴加完成后,继续反应5‑10小时后,回收过量未反应的甲醇。将上述制得的合成液进行精馏,控制真空度小于1.3kpa,去除前馏分后,收集115‑125℃的馏分,得到76kg间二甲酸二甲酯,含量为99.94%。
报道二、

称取0.30mol间二甲酸,加入到盛有0.84mol氯化亚砜的500ml三口瓶中,在搅拌下加入0.45gdmf后,在93300~97320pa的压力和50~80℃下进行回流反应,尾气中氯化氢采用水进行吸收,二氧化硫采用饱和碳酸钠溶液吸收。待反应至反应液由乳白色浑浊液变为浅黄色澄清液体后,再加热反应0.5h后,在负压为90660~96000pa下回收多余氯化亚砜,得到浅黄色间二甲酰氯溶液。在50℃和一定的负压状态下,将上述合成的间二甲酰氯逐渐加入到盛有过量甲醇的带有搅拌的500ml三口瓶中,加入完成后,继续加热至60-80℃回流反应0.5h至无气泡产生后,在负压为90660~96000pa下回收多余甲醇,得到浅黄色溶液。改用蒸馏装置,在666~1333pa负压下进行蒸馏,收集120~125℃之间的馏分,得到无色澄清透明的液体,冷却后为53g白色晶体,收率91%。纯度(gc)99.92%;m.p.67.5~68.2℃;ir(kbr,v/cm-1):2960,1728,1440,1290,1249,726;1hnmr(500mhz,cdcl3),δ:3.95(s,6h),7.53(t,j=7.8hz,1h),8.22(d,j=7.8hz,2h),8.68(s,1h)。
应用[4]
王宏龙等人用异山梨醇,间二甲酸二甲酯对常规pet聚酯进行改性探索,改性剂添加量为7%(摩尔分数),制备得到is-pet、di-pet、is-di-pet三种改性聚酯。核磁共振显示改性基团分别被引入聚酯大分子链中,达到改性目的。将改性后的聚酯与常规pet进行对比分析,dsc显示is-pet与is-di-pet聚酯的tg温度升高,熔点降低。tga显示改性聚酯仍具有良好的热稳定性。对三种聚酯进行纺丝后测试其拉伸性能及标准回潮率,结果显示:异山梨醇与间结构单独改性时均能增强纤维强度,但共同改性时使纤维强度降低;异山梨醇单独改性时纤维吸湿性有显著的改善。
参考文献
[1]简明精细化工大辞典
[2][中国发明]cn201210540192.6合成间二甲酸二甲酯的方法
[3]马海兵,陈永军,朱传涛,朱晓娜.高纯度间二甲酸二甲酯的合成[j].精细化工中间体,2014,44(01):31-33.
[4]王宏龙,田秀枝,王树根,蒋学.异山梨醇-间二甲酸二甲酯改性聚酯的制备与性能[j].武汉工程职业技术学院学报,2015,27(04):8-11.



