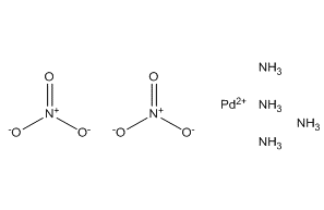
四氨基硝酸钯

mt02807四氨基硝酸钯13601-08-6

英文名称: tetraamminepalladium(ii) nitrate 常用别名: 硝酸四氨合钯(ii) | 四氨合硝酸钯 | 四氨合硝酸钯(ii)溶液 cas号: 13601-08-6 沸点…

联系我们

联系我们

181-3619-1160

在线咨询: QQ交谈

邮箱: 34331943@QQ.com

工作时间:周一至周五,9:00-17:30,节假日休息

关注微信
微信扫一扫关注我们

微信扫一扫关注我们

关注微博
返回顶部
首页
找样品
产品
应用
搜索