原甲酸三乙酯

mt02702原甲酸三乙酯122-51-0

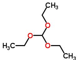
英文名称: triethyl orthoformate 常用别名: 三乙氧基甲烷;原甲酸三乙酯;原甲酸(三)乙酯;1,1′,1”(次甲基三(氧代))三乙烷;原甲酸乙酯;1&#…

联系我们

联系我们

181-3619-1160

在线咨询: QQ交谈

邮箱: 34331943@QQ.com

工作时间:周一至周五,9:00-17:30,节假日休息

关注微信
微信扫一扫关注我们

微信扫一扫关注我们

关注微博
返回顶部
首页
找样品
产品
应用
搜索