螺旋霉素

mt01247螺旋霉素8025-81-8

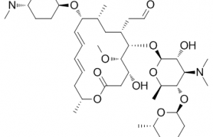
英文名称: spiramycin 常用别名: 白黴素a1;白素a1;螺旋霉素(螺旋霉素碱) cas号: 8025-81-8 沸点: 913.7±65.0 °c at 760 mmhg mdl号: n…

联系我们

联系我们

181-3619-1160

在线咨询: QQ交谈

邮箱: 34331943@QQ.com

工作时间:周一至周五,9:00-17:30,节假日休息

关注微信
微信扫一扫关注我们

微信扫一扫关注我们

关注微博
返回顶部
首页
找样品
产品
应用
搜索