2-氟-6-硝基的应用和制备路线_凯茵工业添加剂

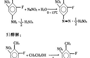
背景及概述[1] 2-氟-6-硝基可用作医药合成中间体,如可用于制备氟取代吲哚化合物,吲哚系列产品具有各种重要的生物活性,因此对吲哚系列产品的研发,一直受到医药界的高度重视,特别是近年来,国内外的期…

联系我们

联系我们

181-3619-1160

在线咨询: QQ交谈

邮箱: 34331943@QQ.com

工作时间:周一至周五,9:00-17:30,节假日休息

关注微信
微信扫一扫关注我们

微信扫一扫关注我们

关注微博
返回顶部
首页
找样品
产品
应用
搜索