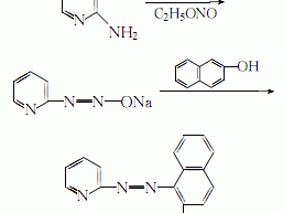
1-(2-吡啶偶氮)-2-萘酚 1-(2-pyridinylazo)-2-naohthalenol

结构式 物竞编号 01wb 分子式 c15h11n3o 分子量 249.27 标签 α-吡啶偶氮-β-萘酚;, α-pyridylazo-β-napnthol, pan , o-pan, 金属指示剂…

联系我们

联系我们

181-3619-1160

在线咨询: QQ交谈

邮箱: 34331943@QQ.com

工作时间:周一至周五,9:00-17:30,节假日休息

关注微信
微信扫一扫关注我们

微信扫一扫关注我们

关注微博
返回顶部
首页
找样品
产品
应用
搜索