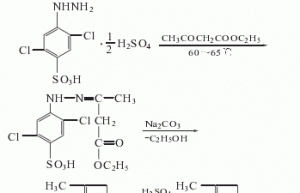
1-(2',5'-二氯-4'-磺酸基)-3-甲基-5-吡唑酮 1-(2',5'-dichloro-4'-sulfophenyl)-3-methyl-5-pyrazolone
结构式 物竞编号 01us 分子式 c10h6cl2n2o4s 分子量 323.15 标签 1-(2,5-二氯-4-磺酸基)-3-甲基-5-吡唑酮, 1-(2,5-dichloro-4-sulfop…
1-(2,3-二甲基基)哌啶的制备方法_凯茵工业添加剂
背景及概述[1] 1-(2,3-二甲基基)哌啶可用作医药合成中间体。如果吸入1-(2,3-二甲基基)哌啶,请将患者移到新鲜空气处;如果皮肤接触,应脱去污染的衣着,用肥皂水和清水彻底冲洗皮肤,如有不适…
1-(2,4-二氯基)哌嗪二盐酸盐的应用_凯茵工业添加剂
背景及概述[1] 1-(2,4-二氯基)哌嗪二盐酸盐可用作医药合成中间体。其游离碱可由哌嗪和2,4-二氯溴通过buchward反应制备得到。 制备[1] 1-(2,4-二氯基)哌嗪二盐酸盐的游离碱的…


