间甲氧基的制备_凯茵工业添加剂

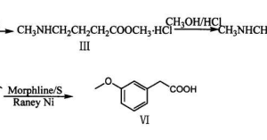
概述[1] 甲氧基如邻、对、间甲基,它(们)是一类重要的有机化工精细化学品中间体,主要用于制造农药和医药及相应的酯类等。现有技术中,甲氧基的制备方法报道并不多,但其类似物的合成及制备方法非常多,其合…

联系我们

联系我们

181-3619-1160

在线咨询: QQ交谈

邮箱: 34331943@QQ.com

工作时间:周一至周五,9:00-17:30,节假日休息

关注微信
微信扫一扫关注我们

微信扫一扫关注我们

关注微博
返回顶部
首页
找样品
产品
应用
搜索