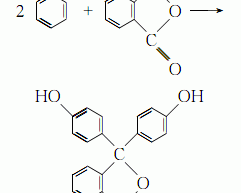
酚酞 phenolphthalein

结构式 物竞编号 01ln 分子式 c20h14o4 分子量 318.32 标签 3,3-双(4-羟基基)-1(3h)-异并呋喃酮, 3,3-二(4-羟基)-3h-异并呋喃酮, 3,3-双(对羟基基…

联系我们

联系我们

181-3619-1160

在线咨询: QQ交谈

邮箱: 34331943@QQ.com

工作时间:周一至周五,9:00-17:30,节假日休息

关注微信
微信扫一扫关注我们

微信扫一扫关注我们

关注微博
返回顶部
首页
找样品
产品
应用
搜索