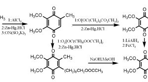
艾地苯醌的合成

艾地醌的用途是什么_凯茵工业添加剂

【概述】 艾地醌(idebenone,简称idbn),化学名称为6 -(10 -羟基癸基)-2,3 -二甲氧基-1,4 -醌,对线拉体功能有激活作用;对脑功能代谢和脑功能障碍有改善作用;同时提高脑内…

联系我们

联系我们

181-3619-1160

在线咨询: QQ交谈

邮箱: 34331943@QQ.com

工作时间:周一至周五,9:00-17:30,节假日休息

关注微信
微信扫一扫关注我们

微信扫一扫关注我们

关注微博
返回顶部
首页
找样品
产品
应用
搜索