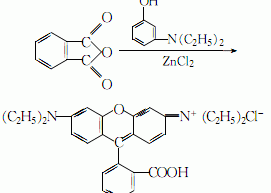
罗丹明b rhodamine b

结构式 物竞编号 01sj 分子式 c28h31cln2o3 分子量 479.01 标签 罗丹明610;玫瑰红b;蕊香红b;玫瑰精b;若丹明b;蓝光碱性蕊香红, basic violet 10, r…

联系我们

联系我们

181-3619-1160

在线咨询: QQ交谈

邮箱: 34331943@QQ.com

工作时间:周一至周五,9:00-17:30,节假日休息

关注微信
微信扫一扫关注我们

微信扫一扫关注我们

关注微博
返回顶部
首页
找样品
产品
应用
搜索