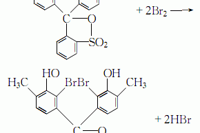
溴甲酚紫 bromocresol purple

结构式 物竞编号 037z 分子式 c21h16br2o5s 分子量 540.22 标签 二溴邻甲酚磺酞, 二溴邻甲酚磺酰酞, 二溴邻甲酚磺酜酞, 5,5'-dibromo-o-creso…

联系我们

联系我们

181-3619-1160

在线咨询: QQ交谈

邮箱: 34331943@QQ.com

工作时间:周一至周五,9:00-17:30,节假日休息

关注微信
微信扫一扫关注我们

微信扫一扫关注我们

关注微博
返回顶部
首页
找样品
产品
应用
搜索