四氯二甲酸酐的合成方法_凯茵工业添加剂

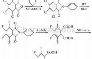
背景及概述[1] 四氯二甲酸酐,又称四氯邻二甲酸酐或四氯酐(tcpa),属反应型阻燃剂,广泛用于不饱和聚酯,环氧树脂、聚烯烃、电影胶片等合成材料中,也用于医药农药、军工、纺织品方面。四氯酐与树脂相溶…

联系我们

联系我们

181-3619-1160

在线咨询: QQ交谈

邮箱: 34331943@QQ.com

工作时间:周一至周五,9:00-17:30,节假日休息

关注微信
微信扫一扫关注我们

微信扫一扫关注我们

关注微博
返回顶部
首页
找样品
产品
应用
搜索