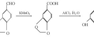
原儿茶酸的合成路线图

原儿茶酸是什么,作用有哪些_凯茵工业添加剂

概述【1】【2】 原儿茶酸(pca)即3,4-二羟基甲酸。是一种简单的酚酸,它是合成其他复杂分子的前体,例如花青素 3-o-β-d-葡萄糖苷和香兰素。其发现于可食用的蔬菜、水果、坚果、糙米、山核桃、…

联系我们

联系我们

181-3619-1160

在线咨询: QQ交谈

邮箱: 34331943@QQ.com

工作时间:周一至周五,9:00-17:30,节假日休息

关注微信
微信扫一扫关注我们

微信扫一扫关注我们

关注微博
返回顶部
首页
找样品
产品
应用
搜索