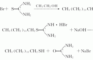
十二硫醇 1-dodecanethiol

结构式 物竞编号 0362 分子式 c12h26s 分子量 202.40 标签 1-十二硫醇, 十二硫醇, 十二碳烷硫醇, 正十二硫醇, 十二烷基硫醇, dodecyl mercaptan, lau…

联系我们

联系我们

181-3619-1160

在线咨询: QQ交谈

邮箱: 34331943@QQ.com

工作时间:周一至周五,9:00-17:30,节假日休息

关注微信
微信扫一扫关注我们

微信扫一扫关注我们

关注微博
返回顶部
首页
找样品
产品
应用
搜索