六氨基(3盐酸盐)的制备_凯茵工业添加剂

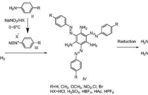
背景及概述[1] 六氨基(3盐酸盐)为芳香烃类衍生物,可用作有机合成中间体。 制备[1] 六氨基(3盐酸盐)的简易合成: 步骤1:氟硼酸4-甲基胺重氮盐的合成 将亚硝酸钠(704mg,1.01mmo…

联系我们

联系我们

181-3619-1160

在线咨询: QQ交谈

邮箱: 34331943@QQ.com

工作时间:周一至周五,9:00-17:30,节假日休息

关注微信
微信扫一扫关注我们

微信扫一扫关注我们

关注微博
返回顶部
首页
找样品
产品
应用
搜索