2-甲氧基-5-磺酰胺甲酸甲酯的制备方法和应用_凯茵工业添加剂
背景及概述[1] 2-甲氧基-5-磺酰胺甲酸甲酯为抗精神类药物舒必利及左旋舒必利的重要中间体,其合成目前国内外均采用水杨酸经甲基化、氯磺化、胺化、酯化得该产品,其工艺路线长,每一步产生的三废量大,尤…
对甲氧基乙酮的制备和应用_凯茵工业添加剂
背景及概述[1] 对甲氧基乙酮又称山楂花酮,为白色晶体。friedel-crafts酰化反应是合成对甲氧基乙酮的重要途径之一。它的典型制备方法是以甲醚为原料,乙酰氯或酐为酰化试剂,采用lewis酸经…
(2r,4s)-5-(联-4-基)-4-[(叔丁氧基羰基)氨基]-2-甲基戊酸的制备_凯茵工业添加剂
背景及概述[1] (2r,4s)-5-(联-4-基)-4-[(叔丁氧基羰基)氨基]-2-甲基戊酸是制备沙库比曲(sacubitril)的关键中间体。沙库比曲和缬沙坦(valsartan)以1:1可以…
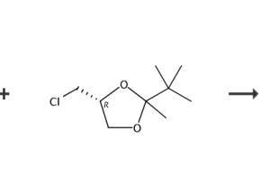
(5r)-3-(4-溴-3-氟基)-5-羟甲基恶唑烷-2-酮的制备_凯茵工业添加剂
背景及概述[1] (5r)-3-(4-溴-3-氟基)-5-羟甲基恶唑烷-2-酮是一种噁唑烷酮类化合物。噁唑烷酮作为一类化学成分发现在治疗和预防比如细菌感染和动脉粥样硬化的医学疾病的药物中有广泛的应用…
(s)-n-缩水甘油邻二甲酰亚胺的制备_凯茵工业添加剂
背景及概述[1] (s)-n-缩水甘油邻二甲酰亚胺又叫s-缩水甘油邻二甲酰亚胺。(s)-n-缩水甘油邻二甲酰亚胺是制备利伐沙班、新型抗生素利奈唑胺、抗真菌的硫代噁唑烷酮、噁唑烷二酮的重要中间体。 制…
4-氨甲基甲酸甲酯盐酸盐的制备方法_凯茵工业添加剂
背景及概述[1-2] 4-氨甲基甲酸甲酯盐酸盐是一种医药中间体,可由4-氨甲基甲酸通过一步酯化制备得到,或由4-(溴甲基)甲酸甲酯通过两步制备得到。 制备[1-2] 报道一、 将10g(151g/m…
4-溴-2-碘酚的制备和应用_凯茵工业添加剂
背景及概述[1] 4-溴-2-碘酚又叫2-碘-4-溴酚,是一种有机中间体,可由对溴酚硝化还原后,重氮化碘代制备得到。 制备[1] 2-硝基-4-溴酚的合成: 在化学反应釜中加入对溴酚,而后在室温调节…
1,2-亚甲基双氧-4-硝基的制备方法_凯茵工业添加剂
背景及概述[1] 1,2-亚甲基双氧-4-硝基是一种芳香族硝基化合物,芳香族硝基化合物在生产、生活中都应用广泛。除了传统的可应用于炸药、香料和染料以外,也是很多医药和农药的重要功能基团。此外,由于硝…
2-氰基-4-硝基-6-溴胺的制备_凯茵工业添加剂
背景及概述[1] 2-氰基-4-硝基-6-溴胺是一种很重要的分散染料中间体,是合成分散蓝183等分散染料的一种重要原料。 制备[1] (1)2-氰基-4-硝基胺的合成: a1、将100g邻氯腈放入3…
2-甲氧基-4-硝基甲醛的制备_凯茵工业添加剂
背景及概述[1-2] 2-甲氧基-4-硝基甲醛是一种有机中间体,制备方法主要有两条合成路线。一条是以化合物4-硝基水杨酸为起始物料通过三步制备得到,另一条是以4-硝基-2-甲氧基为起始原料通过两步制…



