一文让你了解到阻燃剂的机理和分类!
阻燃实现的途径 气相阻燃机理:即抑制在燃烧反应中起链增长作用的自由性,而发挥阻燃作用。 凝聚相阻燃机理:它在固相中阻止聚合物的热分解和阻止聚合物释放出可燃气体的作用。 中断热交换机理:即将聚合物物产…
胺类防老剂有哪些?胺类防老剂的种类
胺类抗氧化剂被称为封闭胺hals,具有多种抗氧化剂。封闭胺类药物一般与防老剂联合使用(如二氮杂,二甲酮等),以达到优于单独使用的效果。为阻止或抑制自由基引发反应和链式增长反应,可使自由基链反应终止,…
阻燃剂需求持续上升,预计2025年市场需求量将达128万吨!
阻燃材料应用广泛,尤其在高层建筑中阻燃材料对于防止或减轻火灾而导致的损失起到举足轻重的作用。阻燃材料的种类繁多,从大的方面可以分为有机阻燃材料、无机阻燃材料以及有机- 无机复合阻燃材料,当前使用的阻…
简单介绍紫外线吸收剂tinuvin p的应用
紫外线吸收剂是一种光稳定剂,它可以吸收日光和荧光光源中的紫外光部分,但其自身不发生变化。因为太阳光中含有大量的紫外线光,它们对彩色物体造成危害,其波长约为290-460纳米,它们是通过化学氧化还原(…
简单介绍什么是环氧树脂结构胶
在建筑加固工程中,经常听到几种常见的加固方法,如植筋、粘钢、碳纤维等。这些加固方法在施工中使用特定的结构胶,以流行的环氧树脂结构胶为例。 什么是环氧树脂?环氧树脂是一种聚合物聚合物,分子式为(c11…
水性丙烯酸树脂在pet基材上的附着力问题
pet基材因其本身特性,使得水性丙烯酸树脂很难在其表面有很好的附着力,特别是应用于光学级别的透明pet薄膜,表面光滑,不易附着,虽然薄膜的表面在出厂前会做电晕处理,使其表面张力值在40mn/m左右,…
常见的紫外线吸收剂有哪些?说明其作用原理
目前较为理想的紫外线吸收剂/光稳定剂多为复配型的,特别是以水杨酸酯类、酮类、并三唑类、取代丙烯腈类、三嗪类与受阻胺类复配,可取得比任何单独紫外线吸收剂更为理性的效果。紫外线吸收剂的使用领域:聚合物(…
二并[b,f][1,4]硫氮杂卓-11-[10h]酮的制备方法_凯茵工业添加剂
背景及概述[1] 二并[b,f][1,4]硫氮杂卓-11-[10h]酮是制备喹硫平的关键中间体。喹硫平,一般以半富马酸盐的形式出售。它是由英国astrazeneca uklimited(阿斯利康制药…
n1,n1,n4,n4-四(吡啶-4-基)-1,4-二胺的制备方法_凯茵工业添加剂
背景及概述[1] n1,n1,n4,n4-四(吡啶-4-基)-1,4-二胺是一种有机中间体,可由4,4'-联吡啶胺和1,4-二溴一步制备得到。属于吡啶基配体,吡啶配体及其衍生物具有σ给电子…
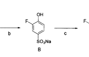
2-溴-6-氟酚的制备_凯茵工业添加剂
背景及概述[1] 2-溴-6-氟酚又叫2-氟-6-溴酚,可用作医药合成中间体。以2-氟酚为原料,经过磺化、卤化、脱保护、可得到中间体2-氟-6-卤代酚 制备[1] 2-氟-6-溴酚的合成: 1)3-…



