抗氧化剂的作用机理以及开发动向
抗氧化剂的抗氧化作用比较复杂,其作用机理有多种可能性。 (1)抗氧化剂借助于还原反应,降低食品内部及其周围的氧含量。例如,有些抗氧化剂本身极容易被氧化,它可以首先与空气中的氧作用,终保护食品。 (2…
抗氧化剂的主要品种二叔丁基对酚介绍
抗氧化剂能阻止、抑制或延迟食品氧化,以提高食品稳定性和延长贮存期的食品添加剂称为抗氧化剂.氧化对所有含油食品,无论是天然的动植物脂肪,还是添加油脂或油炸食品,都能引起酸败,从而降低食品质量和营养价值…
常用的食品级增稠剂性质和用途解析
能提高食品粘度或形成凝胶的一类添加剂林为增稠剂。增稠剤可以使食品粘滑爽口,具有 特殊风味,并有保水作用。同时还具有稳定乳化或悬浊状态的作用。 増稠剂是属于亲水性高分子化合物,分天然增桐剂和化学合成增…
离子交换树脂的性能和种类
离子交换树脂是由交联结构的高分子骨架与可电离的基团两部分组成的不溶性高分子电 鯉质。它能与液相中带相同电荷的离子进行交换反应,并且此交换反应是可逆的,当条件改变,用适当的电解质(如酸或碱等)又可恢复…
凯茵化工:离子交换树脂的合成方法
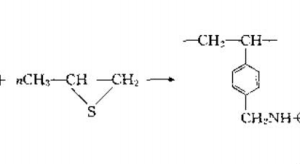
强酸型阳离子交换树脂的合成简单介绍聚合型和缩合型两种。 ①聚合型该法是利用乙烯与二乙嫦基共聚成网状聚乙烯小球,然后磧化制备即 得到强酸型阳离子交换树脂。 ②缩合型该法是利用磧化酚,使華环上带有一s(…
高分子分离膜的性能和制作工艺
高分子薄膜以外界能量或位差为推动力,对双组分或多组分溶液的溶质和溶剂进行分离、 分级、提纯和富集的方法统祢为膜分离法。膜分离法可用f水溶液体系,非水溶液体系,水溶胶 体系以及含有其他微粒的水溶液的体…
高分子反渗透膜、超滤膜的分离技术和应用
反渗透膜、超滤膜目前已在许多领域中应用。在医学中医疗用水的制备以及医疗装置,如 血液透析膜,可从血液中除去尿毒素、肝毒素、农药等。采用超滤膜去除尿毒素,或补充相当干 滤液体积量的无菌水回体内,也能达…
凯茵推荐 | 抗氧化剂:化工业的“抗老神药”
抗氧化剂简介 抗氧化剂是用来延缓或抑制聚合物氧化进程的化学物质,可以延长聚合物的使用寿命,又被称为“防老剂”。从广义上说,大多数弱还原剂都属于抗氧化剂,分为较高化学、物理稳定…
简析螯合树脂的含义以及高分子螯合剂的分类
1. 螯合树脂的含义 螯合树脂通常是指以交联聚合物为骨架帯有特殊功能基,并能通过离子键或配位键与金 属离子形成蟹合物的功能树脂.在大多数情况下,是由两个以上的功能基与金属离子形成环状的蟹合…
几种常见的高分子螯合剂简介
(1)配位原子为氧的高分子螯合剂 这类螯合剂很多,简单易得的是聚乙烯醇(pva)。 它是由聚醋酸乙號水解而得到的,是一种具有羟基配位基团的高分子螯合剂。其化学反应式 如下: 生成的pva可以与多种金…



